基本信息:
中文名称 琥珀酸铵
中文别名 丁二酸铵;
英文名称 AMMONIUM SUCCINATE
英文别名 succinic acid,ammonium succinate;SUCCINIC ACID,DIAMMONIUM SALT;AMMONIUM ACID SUCCINATE;diammonium succinate;diazanium butanedioate;Bernsteinsaeure,Diammonium-Verbindung;Bernsteinsaeure,Ammoniumsuccinat;butanedioic acid,diammonium salt;
CAS号 2226-88-2
合成路线:
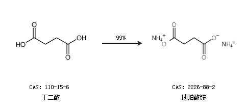
1.通过丁二酸合成琥珀酸铵,收率约99%;

2.通过D-(+)-葡萄糖合成琥珀酸铵

合成路线仅供参考