基本信息:
中文名称 2,4-二氯苄胺肟
中文别名 2,4-二氯苯甲脒肟;
英文名称 2,4-DICHLORO-N''-HYDROXYBENZENECARBOXIMIDAMIDE
英文别名 2,4-Dichloro-N''-hydroxybenzamidine;2,4,5-TRIMETHYLBENZOTRIFLUORIDE;2,4-Dichlorobenzamidoxime;2,4-dichloro-N-hydroxybenzene-1-carboxiMidaMide;2,4-dichloro-benzamidoxime;2,4-Dichlor-benzamidoxim;2,4-Dichloro-N''-hydroxybenzimidamide;
CAS号 22179-80-2
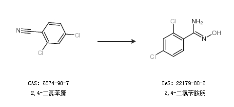
合成路线:
1.通过2,4-二氯苯腈合成2,4-二氯苄胺肟

合成路线仅供参考