基本信息:
中文名称 2,5-恶唑烷二酮
中文别名 唑啶二酮;甘氨酸-N-羧基-环内酸酐;2,5-噁唑啉二酮;
英文名称 1,3-oxazolidine-2,5-dione
英文别名 N-Carboxy-glycine Anhydride;N-carboxy anhydide of glycine;oxazolidin-2,5-dione;2,5-Oxazolidinedione;Oxazolidine-2,5-dione;EINECS 218-570-6;DL-glycine-N-carboxanhydride;2,4-DIOXO-1,2,3,4-TETRAHYDROPYRIMIDINE-5-SULFONYL CHLORIDE;
CAS号 2185-00-4
合成路线:
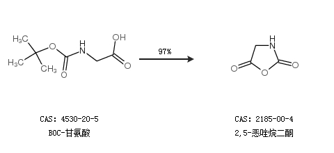
1.通过BOC-甘氨酸合成2,5-恶唑烷二酮,收率约97%;

2.通过光气和甘氨酸合成2,5-恶唑烷二酮,收率约22%;

合成路线仅供参考