基本信息:
中文名称 1-甲基肌苷
英文名称 1-methylinosine
英文别名 m(1)i;9-[(2R,3R,4S,5R)-3,4-dihydroxy-5-(hydroxymethyl)oxolan-2-yl]-1-methylpurin-6-one;Inosine,1-methyl;1-Methyl-inosin;N1-Methyl-inosin;1-Methylinosine;N1-Methylinosine;
CAS号 2140-73-0
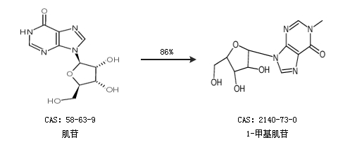
合成路线:
1.通过肌苷合成1-甲基肌苷,收率约86%;

2.通过磷酸三甲酯和肌苷合成1-甲基肌苷,收率约35%;

合成路线仅供参考