基本信息:
中文名称 反式-1,2二苯乙烯-D10
英文名称 TRANS-STILBENE-D10 (RINGS-D10)
英文别名 trans-stilbene d10;trans-1,2-bis-pentadeuteriophenyl-ethene;trans-2,2'',3,3'',4,4'',5,5'',6,6''-decadeuterio-stilbene;trans-<2,2'',3,3'',4,4'',5,5'',6,6''-D10>Stilben;trans-Stilben-2,3,4,5,6,2'',3'',4'',5'',6''-D10;
CAS号 20748-24-7
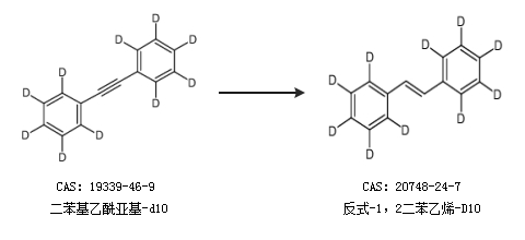
合成路线:
1.通过二苯基乙酰亚基-d10合成反式-1,2二苯乙烯-D10

合成路线仅供参考