基本信息:
中文名称 2’-C-甲基胞嘧啶核苷
中文别名 2’-C-Methylcytidine;2''-C-甲基胞嘧啶核苷;
英文名称 4-amino-1-[(2R,3R,4R,5R)-3,4-dihydroxy-5-(hydroxymethyl)-3-methyloxolan-2-yl]pyrimidin-2-one
英文别名 1-((2R,3R,4R,5R)-3,4-dihydroxy-5-(hydroxymethyl)-3-methyltetrahydrofuran-2-yl)-4-aminopyrimidin-2(1H)-one;UNII-27FS20C1D8;Cytidine,2''-C-methyl;valopicitabine;2''-C-methylcytidine;2''-METHYLCYTIDINE;NM107;
CAS号 20724-73-6
合成路线:
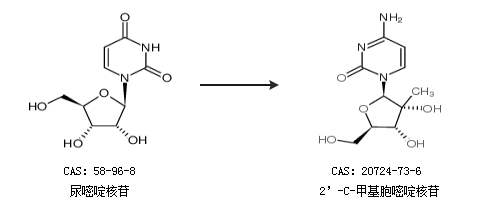
1.通过尿嘧啶核苷合成2’-C-甲基胞嘧啶核苷

2.通过2'',3'',5''-三乙酰尿苷合成2’-C-甲基胞嘧啶核苷

合成路线仅供参考