基本信息:
中文名称 2,5-二-氯-1,4-苯二胺
中文别名 2,5-二氯-4-苯二胺;2,5-二氯对苯二胺;2,5-二氯-1,4-苯二胺;
英文名称 2,5-Dichlorobenzene-1,4-diamine
英文别名 EINECS 243-512-1;2,5-dichloro-1,4-phenylenediamine;2,4-DICHLOROPHENOL (13C6);1,4-Diamino-3,6-dichlorobenzene;2,5-Dichlor-p-phenylendiamin;2,5-dichloro-benzene-1,4-diamine;2,5-DICHLORO-1,4-BENZENEDIAMINE;1,4-Diamino-2,5-dichlorobenzene;2,5-Dichloro-1,4-phenylenediaMine;p-Phenylenediamine,2,5-dichloro;2,5-Dichloro-p-phenylenediamine;
CAS号 20103-09-7
合成路线:
1.通过2,5-二氯-4-硝基苯胺和1,4-萘醌合成2,5-二-氯-1,4-苯二胺,收率约93%;

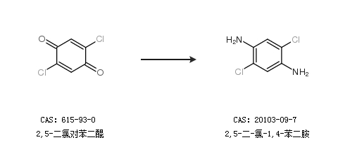
2.通过2,5-二氯对苯二醌合成2,5-二-氯-1,4-苯二胺

合成路线仅供参考