基本信息:
中文名称 5,5''-硫代双水杨酸
中文别名 5,5-硫代二水杨酸;
英文名称 5-(3-carboxy-4-hydroxyphenyl)sulfanyl-2-hydroxybenzoic acid
英文别名 Thiodisalicylic acid;6,6''-dihydroxy-3,3''-sulfanediyl-di-benzoic acid;5,5''-THIODISALICYLIC ACID;5,5''-Thiodisalicylic acid;Salicylic acid der.;6,6''-Dihydroxy-3,3''-sulfandiyl-di-benzoesaeure;6.6''-Dihydroxy-3.3''-thio-dibenzoesaeure;
CAS号 1820-99-1
合成路线:
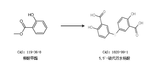
1.通过柳酸甲酯合成5,5''-硫代双水杨酸

合成路线仅供参考