基本信息:
中文名称 4,4''-二硝基二苯基甲烷
中文别名 4,4-二苯基甲烷二硝基;
英文名称 1-nitro-4-[(4-nitrophenyl)methyl]benzene
英文别名 4,4''-Dinitrophenylmethane;4,4''-Dinitrodiphenylmethane;BIS(4-NITROPHENYL)METHANE;
CAS号 1817-74-9
合成路线:
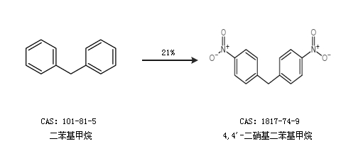
1.通过二苯基甲烷合成4,4''-二硝基二苯基甲烷,收率约21%;

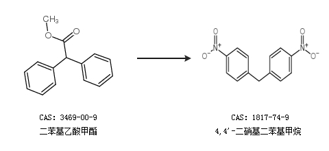
2.通过二苯基乙酸甲酯合成4,4''-二硝基二苯基甲烷

合成路线仅供参考