你好,欢迎来到中华试剂网 购试剂 买耗材! [请登录][注册有惊喜]

货号快速下单 | 签到送积分   | 会员中心 | 客服热线:400-021-2765

2,3,6-三甲基喹喔啉的合成路线有哪些?

提问时间:2021/4/22 10:10:31
2,3,6-三甲基喹喔啉有什么方法可以合成?

1条回复:

匿名
2021/4/22 10:10:31
基本信息:
中文名称 2,3,6-三甲基喹喔啉
中文别名 2,3,4-三氯苯硼酸;2,3,6-三甲基喹噁啉;
英文名称 2,3,6-Trimethylquinoxaline
英文别名 2,3,6-TRIMETHYLQUINOXALINE;
CAS号 17635-21-1

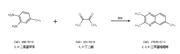
合成路线:
1.通过3,4-二氨基甲苯和2,3-丁二酮合成2,3,6-三甲基喹喔啉,收率约98%;


2.通过3-羟基-2-丁酮和3,4-二氨基甲苯合成2,3,6-三甲基喹喔啉,收率约83%;


合成路线仅供参考
回复