基本信息:
中文名称 利奈唑胺碱
中文别名 (S)-5-(氨基甲基)-3-(3-氟-4-吗啉苯基)噁唑啉-2-酮;利奈唑胺相关物质C;
英文名称 (5S)-5-(aminomethyl)-3-(3-fluoro-4-morpholin-4-ylphenyl)-1,3-oxazolidin-2-one
英文别名 Deacetyl Linezolid;(5S)-5-(aminomethyl)-3-(3-fluoro-4-morpholinophenyl)-1,3-oxazolidin-2-one;(S)-N-[[3-(3-fluoro-4-morpholinylphenyl)-2-oxo-5-oxazolidinyl]methyl]amine;(S)-3-(3-fluoro-4-morpholinophenyl)-2-oxo-5-oxazolidinylmethyl amine;N-(3-(3-fluoro-4-(morpholin-4-yl)phenyl)-2-oxooxazolidin-5(S)-ylmethyl)amine;(S)-N-[[3-(3-fluoro-4-morpholinophenyl)-2-oxo-5-oxazolidinyl]methyl]amine;(S)-N-[[3-[3-Fluoro-4-(4-morpholinyl)phenyl]-2-oxo-5-oxazolidinyl]methyl]amine;(S)-5-aminomethyl-N-[3-(3-fluoro-4-morpholinophenyl)]oxazolidin-2-one;(S)-5-(Aminomethyl)-3-(3-fluoro-4-morpholinophenyl)oxazolidin-2-one;
CAS号 168828-90-8
合成路线:
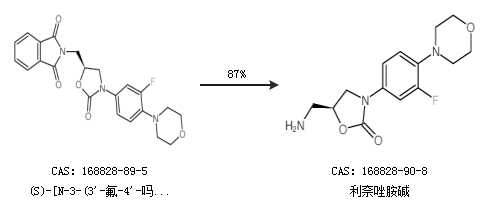
1.通过(S)-[N-3-(3''-氟-4''-吗啉基)苯基-2-氧代-5-噁唑烷合成利奈唑胺碱,收率约87%;

2.通过吗啉恶酮相关物质A合成利奈唑胺碱,收率约99%;

合成路线仅供参考