你好,欢迎来到中华试剂网 购试剂 买耗材! [请登录][注册有惊喜]

货号快速下单 | 签到送积分   | 会员中心 | 客服热线:400-021-2765

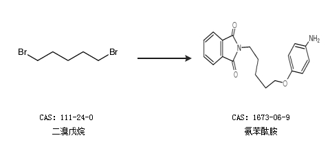
氨苯酞胺的合成路线有哪些?

提问时间:2021/4/22 10:10:30
氨苯酞胺有什么方法可以合成?

1条回复:

匿名
2021/4/22 10:10:30
基本信息:
中文名称 氨苯酞胺
英文名称 amphotalide
英文别名 Amphothalide;Schistomide;RP-6171;
CAS号 1673-06-9

合成路线:
1.通过N-(5-溴戊基)邻苯二甲酰亚胺合成氨苯酞胺


2.通过二溴戊烷合成氨苯酞胺


合成路线仅供参考
回复