你好,欢迎来到中华试剂网 购试剂 买耗材! [请登录][注册有惊喜]

货号快速下单 | 签到送积分   | 会员中心 | 客服热线:400-021-2765

2,3-二甲基-1H-吲哚-5-胺的合成路线有哪些?

提问时间:2021/4/22 10:10:30
2,3-二甲基-1H-吲哚-5-胺有什么方法可以合成?

1条回复:

匿名
2021/4/22 10:10:30
基本信息:
中文名称 2,3-二甲基-1H-吲哚-5-胺
英文名称 2,3-Dimethyl-1H-indol-5-ylamine
英文别名 5-AMINO-2,3-DIMETHYLINDOLE;2,3-dimethyl-1H-indol-5-amine;
CAS号 16712-58-6

合成路线:
1.通过2,3-二甲基-5-硝基吲哚合成2,3-二甲基-1H-吲哚-5-胺


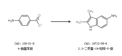
2.通过4-硝基苯胺合成2,3-二甲基-1H-吲哚-5-胺


合成路线仅供参考
回复