基本信息:
中文名称 7-氯-4-羟基-3-喹啉羧酸乙酯
中文别名 4-羟基-7-氯喹啉-3-羧酸乙酯;7-氯-1,4-二氢-4-氧代-3-喹啉羧酸乙酯;
英文名称 ethyl 7-chloro-4-oxo-1H-quinoline-3-carboxylate
英文别名 7-Chlor-4-hydroxy-chinolin-3-carbonsaeure-ethylester;ethyl 7-chloro-4-hydroxyquinoline-3-carboxylate;7-Chlor-4-hydroxy-chinolin-3-carbonsaeure-aethylester;7-CHLORO-4-HYDROXY-QUINOLINE-3-CARBOXYLIC ACID METHYL ESTER;ethyl 7-chloro-4-hydroxy-3-quinoline-carboxylate;7-chloro-4-hydroxy-quinoline-3-carboxylic acid ethyl ester;
CAS号 16600-22-9
合成路线:
1.通过乙氧基甲叉丙二酸二乙酯合成7-氯-4-羟基-3-喹啉羧酸乙酯

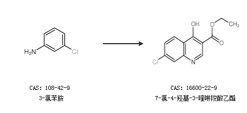
2.通过3-氯苯胺合成7-氯-4-羟基-3-喹啉羧酸乙酯

合成路线仅供参考