基本信息:
中文名称 1,3,5-环己烷三羧酸
中文别名 (1α,3α,5α)-1,3,5-环己三羧酸;1,3,5-环己三酸;顺,顺-1,3,5-环己三羧酸;
英文名称 Cis-1,3,5-Cyclohexanetricarboxylic Acid
英文别名 (1alpha,3alpha,5alpha)-1,3,5-Cyclohexanetricarboxylic Acid;CIS,CIS-1,3,5-CYCLOHEXANETRICARBOXYLIC ACID;(1α,3α,5α)-1,3,5-Cyclohexanetricarboxylic Acid;
CAS号 16526-68-4
合成路线:
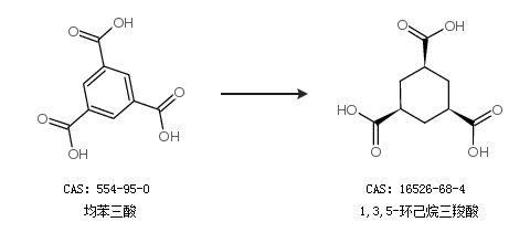
1.通过均苯三酸合成1,3,5-环己烷三羧酸

2.通过均苯三酸合成1,3,5-环己烷三羧酸

合成路线仅供参考