基本信息:
中文名称 3-(4-溴苯基)丙酸
中文别名 4-溴-3-苯基丙酸;3-对溴苯丙酸;对溴苯丙酸;对溴苯丙酸;对溴苯丙酸(4-溴苯丙酸);3-(4-溴苯)丙酸;
英文名称 3-(4-Bromophenyl)propionic acid
英文别名 3-(4-Bromophenyl)propanoic acid;3-(4-BroMophenyl)propionic Acid;3-(4-bromophenyl)propanoic acid;
CAS号 1643-30-7
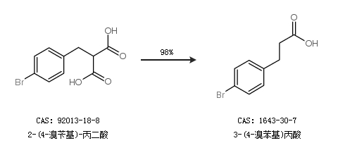
合成路线:
1.通过2-(4-溴苄基)-丙二酸合成3-(4-溴苯基)丙酸,收率约98%;

2.通过2,4,4-三甲基-2-恶唑和对溴溴苄合成3-(4-溴苯基)丙酸,收率约88%;

合成路线仅供参考