基本信息:
中文名称 (R)-α-甲氧基-2-萘乙酸
英文名称 (2R)-2-methoxy-2-naphthalen-2-ylacetic acid
英文别名 (R)-methoxy-(2-naphthyl)acetic acid;(R)-(2-naphthyl)(methoxy)acetic acid;(R)-2-NMA;(R)-2-(2''-naphthyl)-2-methoxyacetic acid;(R)-|A-Methoxy-2-naphthaleneacetic acid;(R)-|A-Methoxy-2-naphthylacetic acid;
CAS号 156942-67-5
合成路线:
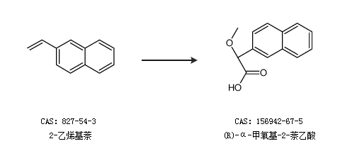
1.通过2-乙烯基萘合成(R)-α-甲氧基-2-萘乙酸

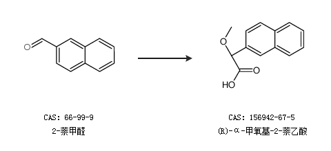
2.通过2-萘甲醛合成(R)-α-甲氧基-2-萘乙酸

合成路线仅供参考