基本信息:
中文名称 5-羟基吲哚-3-乙醇
中文别名 5-羟基吲哚-8-乙醇;5-羟基色醇;
英文名称 3-(2-hydroxyethyl)-1H-indol-5-ol
英文别名 5-hydroxytryprophol;3-(2-hydroxy-ethyl)-indol-5-ol;3-(2-Hydroxy-aethyl)-indol-5-ol;INDOLE-3-ETHANOL,5-HYDROXY;1H-Indole-3-ethanol,5-hydroxy;5-hydroxy-3-(2-hydroxyethyl)indole;Hydroxytryptophol;EINECS 205-820-4;5-Hydroxyindole-3-ethanol;5-Hydroxytryptophol;5-Hydroxy-1H-indole-3-ethanol;
CAS号 154-02-9
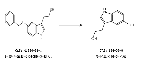
合成路线:
1.通过5-羟基吲哚-3-乙酸合成5-羟基吲哚-3-乙醇,收率约46%;

2.通过2-(5-苄氧基-1H-吲哚-3-基)-乙醇合成5-羟基吲哚-3-乙醇

合成路线仅供参考