你好,欢迎来到中华试剂网 购试剂 买耗材! [请登录][注册有惊喜]

货号快速下单 | 签到送积分   | 会员中心 | 客服热线:400-021-2765

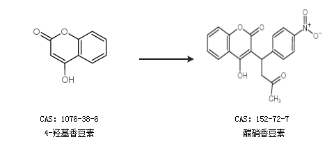
醋硝香豆素的合成路线有哪些?

提问时间:2021/4/22 10:10:29
醋硝香豆素有什么方法可以合成?

1条回复:

匿名
2021/4/22 10:10:29
基本信息:
中文名称 醋硝香豆素
中文别名 3-(1-对硝基苯基-3-氧代丁基)-4-羟基-2H-1-苯并吡喃-2-酮;醋硝香豆酮;
英文名称 acenocoumarol
英文别名 ACENOCOUMAROL;Acenocoumarol;
CAS号 152-72-7

合成路线:
1.通过4-羟基香豆素合成醋硝香豆素


2.通过4-羟基香豆素合成醋硝香豆素


合成路线仅供参考
回复