你好,欢迎来到中华试剂网 购试剂 买耗材! [请登录][注册有惊喜]

货号快速下单 | 签到送积分   | 会员中心 | 客服热线:400-021-2765

4-硝基肉桂醇的合成路线有哪些?

提问时间:2021/4/22 10:10:29
4-硝基肉桂醇有什么方法可以合成?

1条回复:

匿名
2021/4/22 10:10:29
基本信息:
中文名称 4-硝基肉桂醇
中文别名 4-硝基苯丙烯醇;
英文名称 4-NITROCINNAMYL ALCOHOL
英文别名 P-NITROCINNAMYL ALCOHOL;4-Nitrocinnamyl Alcohol;4-Nitrociamyl alcohol;4-Nitrozimtalkohol;
CAS号 1504-63-8

合成路线:
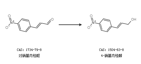
1.通过对硝基肉桂醛合成4-硝基肉桂醇


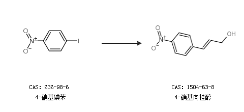
2.通过4-硝基碘苯合成4-硝基肉桂醇


合成路线仅供参考
回复