基本信息:
中文名称 1,2,3,4,8,9,10,11,15,16,17,18,22,23,24,25-十六氟酞菁铜(II)
中文别名 十六氟酞菁铜;全氟酞菁铜;
英文名称 1,2,3,4,8,9,10,11,15,16,17,18,22,23,24,25-Hexadecafluorophthalocyanine Copper(II)
英文别名 COPPER 1 2 3 4 8 9 10 11 15 16 17 18 22&;Copper(II) 1,2,3,4,8,9,10,11,15,16,17,18,22,23,24,25-Hexadecafluorophthalocyanine;
CAS号 14916-87-1
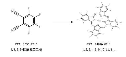
合成路线:
1.通过3,4,5,6-四氟邻苯二腈合成1,2,3,4,8,9,10,11,15,16,17,18,22,23,24,25-十六氟酞菁铜(II)

2.通过3,4,5,6-四氟邻苯二腈和乙酸铜合成1,2,3,4,8,9,10,11,15,16,17,18,22,23,24,25-十六氟酞菁铜(II)

合成路线仅供参考