你好,欢迎来到中华试剂网 购试剂 买耗材! [请登录][注册有惊喜]

货号快速下单 | 签到送积分   | 会员中心 | 客服热线:400-021-2765

3-吲哚乙醛酸的合成路线有哪些?

提问时间:2021/4/22 10:10:29
3-吲哚乙醛酸有什么方法可以合成?

1条回复:

匿名
2021/4/22 10:10:29
基本信息:
中文名称 3-吲哚乙醛酸
中文别名 吲哚-3-乙醛酸;
英文名称 1H-Indol-3-yl(oxo)acetic acid
英文别名 Indole-3-glyoxylic acid;
CAS号 1477-49-2

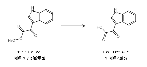
合成路线:
1.通过吲哚-3-乙醛酰氯合成3-吲哚乙醛酸


2.通过吲哚-3-乙醛酸甲酯合成3-吲哚乙醛酸


合成路线仅供参考
回复