你好,欢迎来到中华试剂网 购试剂 买耗材! [请登录][注册有惊喜]

货号快速下单 | 签到送积分   | 会员中心 | 客服热线:400-021-2765

异戊酸酐的合成路线有哪些?

提问时间:2021/4/22 10:10:29
异戊酸酐有什么方法可以合成?

1条回复:

匿名
2021/4/22 10:10:29
基本信息:
中文名称 异戊酸酐
中文别名 異戊[酸]酐;3-甲基丁酸酐;
英文名称 Isovaleric Anhydride
英文别名 3-methylbutanoyl 3-methylbutanoate;Isovaleric anhydride;
CAS号 1468-39-9

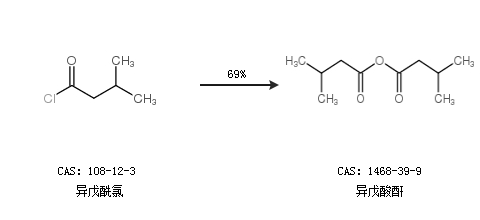
合成路线:
1.通过异戊酰氯合成异戊酸酐,收率约69%;


2.通过异戊酸合成异戊酸酐


合成路线仅供参考
回复