基本信息:
中文名称 1-溴甲基金刚烷
中文别名 1-(溴甲基)金刚烷;
英文名称 1-(Bromomethyl)adamantane
英文别名 adamantanylbromomethane;1-adamantyl methyl bromide;1-Adamantylmethyl bromide;1-bromomethyladamantane;1-(bromomethyl)tricyclo[3.3.1.1~3,7~]decane;
CAS号 14651-42-4
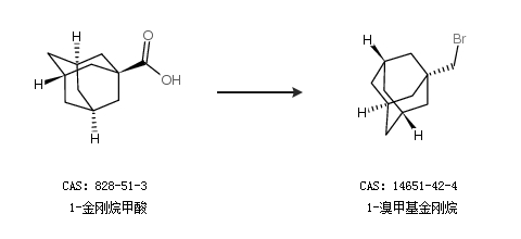
合成路线:
1.通过1-金刚烷甲醇合成1-溴甲基金刚烷,收率约96%;

2.通过1-金刚烷甲酸合成1-溴甲基金刚烷

合成路线仅供参考