基本信息:
中文名称 (±)-反-环氧琥珀酸
中文别名 (+/-)-反式-环氧琥珀酸;
英文名称 (+/-)-TRANS-EPOXYSUCCINIC ACID
英文别名 2-Octenal;epoxyfumaric acid;2-trans-octenal;octene-oxide;(+/-)-trans-Oxirane-2,3-dicarboxylic acid;(±)-trans-Epoxysuccinic Acid;trans-oct-2-enal;trans-octen-2-al;T2 OCTENAL;trans-oxirane-2,3-dicarboxylic acid;trans-2,3-Epoxysuccinic acid;octene-1-oxide;DL-trans-epoxysuccinic acid;(±)-trans-2,3-Oxiranedicarboxylic Acid;)-trans-Epoxysuccinic Acid;
CAS号 141-36-6
合成路线:
1.通过富马酸合成(±)-反-环氧琥珀酸,收率约56%;

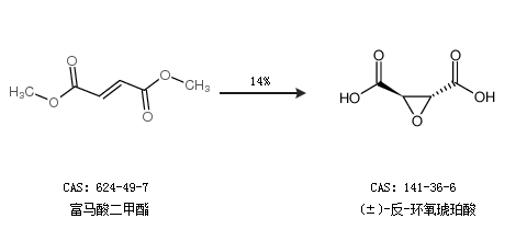
2.通过富马酸二甲酯合成(±)-反-环氧琥珀酸,收率约14%;

合成路线仅供参考