你好,欢迎来到中华试剂网 购试剂 买耗材! [请登录][注册有惊喜]

货号快速下单 | 签到送积分   | 会员中心 | 客服热线:400-021-2765

氯化花葵素的合成路线有哪些?

提问时间:2021/4/22 10:10:26
氯化花葵素有什么方法可以合成?

1条回复:

匿名
2021/4/22 10:10:26
基本信息:
中文名称 氯化花葵素
中文别名 氯化天竺葵;天竺葵素PG;氯化天竺葵色素;
英文名称 pelargonidin
英文别名 Pelargonidin;2-(4-hydroxyphenyl)chromenylium-3,5,7-triol,chloride;
CAS号 134-04-3

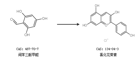
合成路线:
1.通过2-氯-4''-羟基苯乙酮合成氯化花葵素


2.通过间苯三酚甲醛合成氯化花葵素


合成路线仅供参考
回复