基本信息:
中文名称 正丁基丙二酸二乙酯
中文别名 丁基丙二酸二乙酯;乙基丁基丙二酸酯;
英文名称 Diethyl butylmalonate
英文别名 Diethyl n-butylmalonate;Butylmalonic Acid Diethyl Ester;diethyl 2-butylpropanedioate;Diethyl ButylMalonate;
CAS号 133-08-4
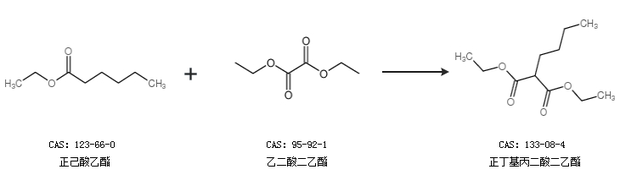
合成路线:
1.通过正己酸乙酯和乙二酸二乙酯合成正丁基丙二酸二乙酯

2.通过丙二酸二乙酯和正丁醇合成正丁基丙二酸二乙酯,收率约62%;

合成路线仅供参考