基本信息:
中文名称 2,4-二氧代己酸乙酯
中文别名 2,4-二氧己酸乙酯;
英文名称 ethyl 2,4-dioxohexanoate
英文别名 Hexanoic acid,2,4-dioxo-,ethyl ester;EINECS 236-228-4;2,4-dioxo-hexanoic acid;Propionylbrenztraubensaeure-aethylester;2,4-Dioxo-hexansaeure-aethylester;Ethyl propionyl pyruvate;Ethyl 2,4-diketocaproate;FEMA No. 3278;2,4-Dioxohexanoic acid,ethyl ester;
CAS号 13246-52-1
合成路线:
1.通过乙二酸二乙酯和2-丁酮合成2,4-二氧代己酸乙酯,收率约78%;

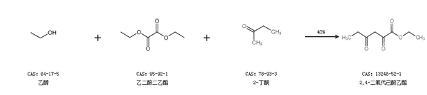
2.通过乙醇、乙二酸二乙酯和2-丁酮合成2,4-二氧代己酸乙酯,收率约40%;

合成路线仅供参考