基本信息:
中文名称 3-溴-2-羟基苯甲腈
英文名称 3-BROMO-2-HYDROXYBENZONITRILE
英文别名 3-bromo-2-hydroxy-benzonitrile;2-Bromo-6-cyanophenol;3-BROMO-2-HYDROXYBENZNITRILE;Benzonitrile,3-bromo-2-hydroxy;
CAS号 13073-28-4
合成路线:
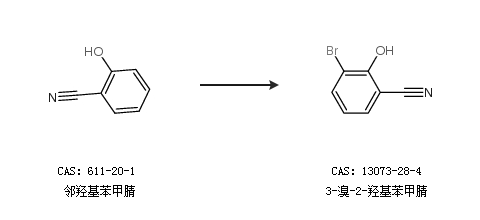
1.通过邻羟基苯甲腈合成3-溴-2-羟基苯甲腈

2.通过邻羟基苯甲腈合成3-溴-2-羟基苯甲腈

合成路线仅供参考