基本信息:
中文名称 L-谷氨酸-α-苄酯
中文别名 D-谷氨酸-5-苄脂;L-谷氨酸-alpha-苄酯;L-谷氨酸α苄酯;L-谷氨酸-1-苄酯;1-苄基-L-谷氨酸酯;L-谷氨酸1-苄酯;
英文名称 L-Glutamic Acid 1-Benzyl Ester
英文别名 (S)-4-Amino-5-(benzyloxy)-5-oxopentanoic acid;L-Glutamic acid α-benzyl ester;L-Glutamic acid alpha-benzyl ester;1-Benzyl L-glutamate;L-Glutamic acid 1-Benzyl Ester;
CAS号 13030-09-6
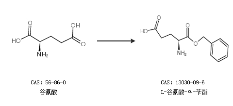
合成路线:
1.通过谷氨酸和苯甲醇合成L-谷氨酸-α-苄酯

2.通过谷氨酸合成L-谷氨酸-α-苄酯

合成路线仅供参考