你好,欢迎来到中华试剂网 购试剂 买耗材! [请登录][注册有惊喜]

货号快速下单 | 签到送积分   | 会员中心 | 客服热线:400-021-2765

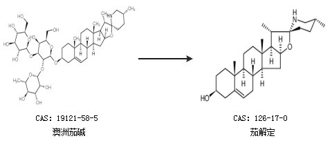
茄解定的合成路线有哪些?

提问时间:2021/4/22 10:10:26
茄解定有什么方法可以合成?

1条回复:

匿名
2021/4/22 10:10:26
基本信息:
中文名称 茄解定
中文别名 澳洲茄铵;澳洲茄胺;
英文名称 Solasodine
英文别名 SOLASODINE;
CAS号 126-17-0

合成路线:
1.通过澳洲茄碱合成茄解定


2.通过隐配质合成茄解定


合成路线仅供参考
回复