你好,欢迎来到中华试剂网 购试剂 买耗材! [请登录][注册有惊喜]

货号快速下单 | 签到送积分   | 会员中心 | 客服热线:400-021-2765

3-氯-10H-吩噻嗪的合成路线有哪些?

提问时间:2021/4/22 10:10:26
3-氯-10H-吩噻嗪有什么方法可以合成?

1条回复:

匿名
2021/4/22 10:10:26
基本信息:
中文名称 3-氯-10H-吩噻嗪
英文名称 3-chloro-10H-phenothiazine
英文别名 3-Chlorophenothiazin;UNII-MAA2N1HWX6;3-Chlorphenothiazin;3-chloro-phenothiazine;
CAS号 1207-99-4

合成路线:
1.通过2-氨基-5-氯噻吩和环己酮合成3-氯-10H-吩噻嗪,收率约74%;


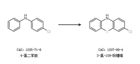
2.通过4-氯二苯胺合成3-氯-10H-吩噻嗪


合成路线仅供参考
回复