基本信息:
中文名称 3-苯基丁-2-烯酸
中文别名 3-苯基-2-丁烯酸;
英文名称 (E)-3-phenylbut-2-enoic acid
英文别名 Crotonic acid,3-phenyl;2-Butenoic acid,3-phenyl;(E/Z)-3-phenyl-2-butenoic acid;3-phenyl crotonic acid;3-phenyl-2-butenoic acid;3-phenyl-but-2-enoic acid;2-Butenoic acid,3-phenyl-,(E);(2E)-3-phenylbut-2-enoic acid;
CAS号 1199-20-8
合成路线:
1.通过反-β-甲基肉桂酸乙酯合成3-苯基丁-2-烯酸

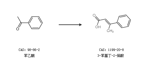
2.通过苯乙酮合成3-苯基丁-2-烯酸

合成路线仅供参考