基本信息:
中文名称 二(对硝基苯)硫砜
中文别名 4,4''-硝基二苯基砜;双(4-硝基苯基)砜;双(4-硝基苯基) 砜;4,4''-二硝基二苯基砜;
英文名称 Bis(4-nitrophenyl) Sulfone
英文别名 1-nitro-4-(4-nitrophenyl)sulfonylbenzene;4,4''-Dinitrodiphenyl Sulfone;
CAS号 1156-50-9
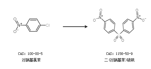
合成路线:
1.通过二苯硫醚合成二(对硝基苯)硫砜

2.通过对硝基氯苯合成二(对硝基苯)硫砜

合成路线仅供参考