你好,欢迎来到中华试剂网 购试剂 买耗材! [请登录][注册有惊喜]

货号快速下单 | 签到送积分   | 会员中心 | 客服热线:400-021-2765

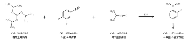
4-氰基-2-氟苯硼酸的合成路线有哪些?

提问时间:2021/4/22 10:10:25
4-氰基-2-氟苯硼酸有什么方法可以合成?

1条回复:

匿名
2021/4/22 10:10:25
基本信息:
中文名称 4-氰基-2-氟苯硼酸
中文别名 2-氟-4-氰基苯硼酸;
英文名称 4-Cyano-2-fluorophenylboronic acid
英文别名 (4-cyano-2-fluorophenyl)boronic acid;
CAS号 1150114-77-4

合成路线:
1.通过硼酸三异丙酯、3-氟-4-碘苯腈和异丙基氯化镁合成4-氰基-2-氟苯硼酸,收率约53%;


合成路线仅供参考
回复