你好,欢迎来到中华试剂网 购试剂 买耗材! [请登录][注册有惊喜]

货号快速下单 | 签到送积分   | 会员中心 | 客服热线:400-021-2765

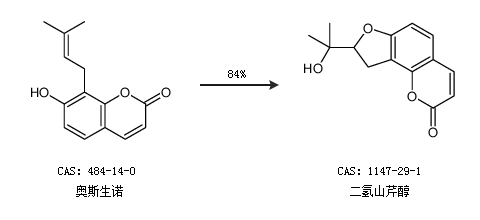
二氢山芹醇的合成路线有哪些?

提问时间:2021/4/22 10:10:25
二氢山芹醇有什么方法可以合成?

1条回复:

匿名
2021/4/22 10:10:25
基本信息:
中文名称 二氢山芹醇
英文名称 columbianetin
英文别名 Tetrahydro-oroselol;CPD-9799;Columbianetin;8-(2-hydroxypropan-2-yl)-8,9-dihydrofuro[2,3-h]chromen-2-one;
CAS号 1147-29-1

合成路线:
1.通过奥斯生诺合成二氢山芹醇,收率约84%;


2.通过7-羟基香豆素合成二氢山芹醇


合成路线仅供参考
回复