你好,欢迎来到中华试剂网 购试剂 买耗材! [请登录][注册有惊喜]

货号快速下单 | 签到送积分   | 会员中心 | 客服热线:400-021-2765

2,6-萘二羧酸的合成路线有哪些?

提问时间:2021/4/22 10:10:25
2,6-萘二羧酸有什么方法可以合成?

1条回复:

匿名
2021/4/22 10:10:25
基本信息:
中文名称 2,6-萘二羧酸
中文别名 2,6-萘二甲酸;萘-2,6-二甲酸;
英文名称 naphthalene-2,6-dicarboxylic acid
英文别名 2,6-Naphthalenedicarboxylic Acid;
CAS号 1141-38-4

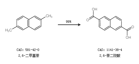
合成路线:
1.通过2,6-二甲基萘合成2,6-萘二羧酸,收率约97%;


2.通过2,6-二甲基萘合成2,6-萘二羧酸,收率约99%;


合成路线仅供参考
回复