基本信息:
中文名称 戊二酰亚胺
中文别名 醋谷胺杂质B;2,6-哌啶二酮;2,6-哌啶二酮;
英文名称 piperidine-2,6-dione
英文别名 PIPERIDINE-2,6-DIONE;piperidin-1-yl-2,6-dione;2,6-Diketopiperidine2,6-Piperidinedione;GlutariMide 25GR;2,6-Piperidinedione;GlutariMide;2,6-dioxopiperidine;2,6-PIPERIDINEDIONE;Glutarimide;L-glutarimide;2,6-DIKETOPIPERIDINE;2,6-Diketopiperidine;
CAS号 1121-89-7
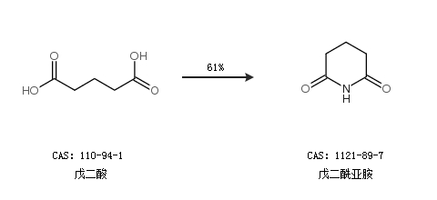
合成路线:
1.通过2-氮己环酮合成戊二酰亚胺,收率约5%;

2.通过戊二酸合成戊二酰亚胺,收率约61%;

合成路线仅供参考