基本信息:
中文名称 4-(叔-丁基二甲基甲硅烷氧基)苯酚
中文别名 4-(叔丁基二甲基甲硅烷氧基)苯酚;
英文名称 4-[tert-butyl(dimethyl)silyl]oxyphenol
英文别名 Phenol,4-t-butyldimethylsilyloxy;
CAS号 108534-47-0
合成路线:
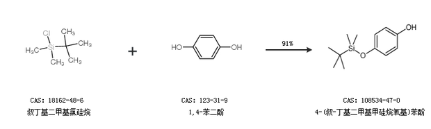
1.通过叔丁基二甲基氯硅烷和1,4-苯二酚合成4-(叔-丁基二甲基甲硅烷氧基)苯酚,收率约91%;

2.通过咪唑和叔丁基二甲基氯硅烷合成4-(叔-丁基二甲基甲硅烷氧基)苯酚,收率约72%;

合成路线仅供参考