基本信息:
中文名称 2’-脱氧异鸟嘌呤核苷
中文别名 2''-脱氧异鸟嘌呤核苷
英文名称 6-amino-9-[(2R,4S,5R)-4-hydroxy-5-(hydroxymethyl)oxolan-2-yl]-1H-purin-2-one
英文别名 Adenosine,1,2-dihydro-2''-deoxy-2-oxo;2-Hydroxydeoxyadenosine;1,2-Dihydro-2''-deoxy-2-oxoadenosine;Deoxyisoguanosine;2''-Deoxyisoguanosine
CAS号 106449-56-3
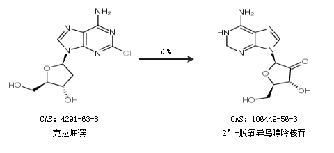
合成路线:
1.通过2,6-二氨基嘌呤-2’-脱氧核苷合成2’-脱氧异鸟嘌呤核苷,收率约80%;

2.通过克拉屈滨合成2’-脱氧异鸟嘌呤核苷,收率约53%;

合成路线仅供参考