基本信息:
中文名称 4-十二烷基苯胺
中文别名 对十二烷基苯胺;
英文名称 4-Dodecylaniline
英文别名 4-n-dodecyl-aniline;Benzenamine,4-dodecyl;4-Dodecylphenylamine;4-(dodecyl)aniline;para-dodecylaniline;4-laurylaniline;P-DODECYLANILINE;
CAS号 104-42-7
合成路线:
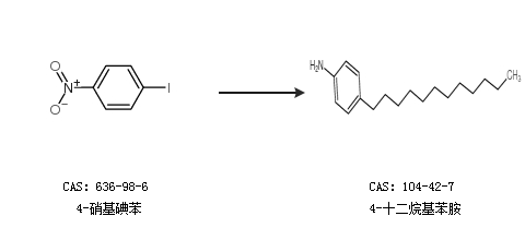
1.通过4-硝基碘苯合成4-十二烷基苯胺

2.通过1-十二炔合成4-十二烷基苯胺

合成路线仅供参考