基本信息:
中文名称 5-溴-2-甲氧基吡啶-3-甲醛
中文别名 2-甲氧基-5-溴-3-吡啶甲醛;
英文名称 5-BROMO-2-METHOXY-PYRIDINE-3-CARBALDEHYDE
英文别名 5-Bromo-2-methoxypyridine-3-carbaldehyde;(1-BOC-Piperidin-4-yl)acetic acid;5-bromo-2-methoxypyridine-3-carbaldehyde;5-Bromo-2-methoxypyridine-3-carboxaldehyde;
CAS号 103058-87-3
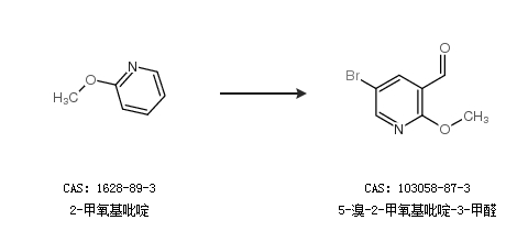
合成路线:
1.通过2-甲氧基吡啶合成5-溴-2-甲氧基吡啶-3-甲醛

2.通过2-甲氧基-3,5-二溴吡啶和N,N-二甲基甲酰胺合成5-溴-2-甲氧基吡啶-3-甲醛

合成路线仅供参考