你好,欢迎来到中华试剂网 购试剂 买耗材! [请登录][注册有惊喜]

货号快速下单 | 签到送积分   | 会员中心 | 客服热线:400-021-2765

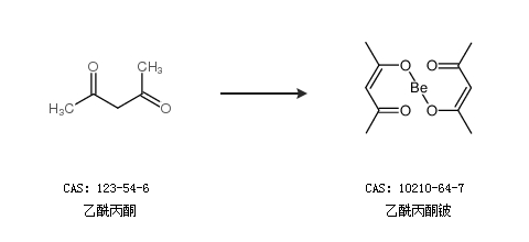
乙酰丙酮铍的合成路线有哪些?

提问时间:2021/4/22 10:10:23
乙酰丙酮铍有什么方法可以合成?

1条回复:

匿名
2021/4/22 10:10:23
基本信息:
中文名称 乙酰丙酮铍
中文别名 铍2,4-戊二酮盐;
英文名称 Beryllium acetylacetonate
英文别名 BERYLLIUM 2,4-PENTANEDIONATE;
CAS号 10210-64-7

合成路线:
1.通过乙酰丙酮合成乙酰丙酮铍


合成路线仅供参考
回复