你好,欢迎来到中华试剂网 购试剂 买耗材! [请登录][注册有惊喜]

货号快速下单 | 签到送积分   | 会员中心 | 客服热线:400-021-2765

5-溴-2-萘甲酸的合成路线有哪些?

提问时间:2021/4/22 10:10:23
5-溴-2-萘甲酸有什么方法可以合成?

1条回复:

匿名
2021/4/22 10:10:23
基本信息:
中文名称 5-溴-2-萘甲酸
中文别名 5-溴萘-2-羧酸;
英文名称 5-Bromo-2-naphthoic acid
英文别名 5-bromonaphthalene-2-carboxylic acid;
CAS号 1013-83-8

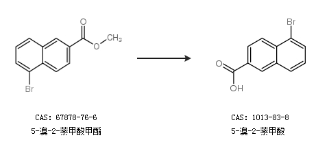
合成路线:
1.通过1,6-二溴萘合成5-溴-2-萘甲酸


2.通过5-溴-2-萘甲酸甲酯合成5-溴-2-萘甲酸


合成路线仅供参考
回复