基本信息:
中文名称 4-羟基苯丁酮
中文别名 对丁酰基苯酚;
英文名称 4-Hydroxybutyrophenone
英文别名 4’-Hydroxybutyrophenone;4-Hydroxyphenyl Propyl Ketone;1-(4-hydroxyphenyl)butan-1-one;1-(4-Hydroxyphenyl)butan-1-one;1-(4-Hydroxyphenyl)-1-butanone;4''-Hydroxybutyrophenone;
CAS号 1009-11-6
合成路线:
1.通过正丁酰氯和苯酚合成4-羟基苯丁酮,收率约10%;

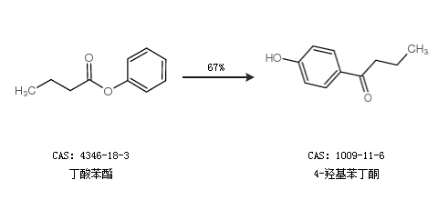
2.通过丁酸苯酯合成4-羟基苯丁酮,收率约67%;

合成路线仅供参考