基本信息:
中文名称 [3-(吡啶-4-基)苯基]硼酸频那醇酯
英文名称 4-[3-(4,4,5,5-tetramethyl-1,3,2-dioxaborolan-2-yl)phenyl]pyridine
英文别名 4-(3-(4,4,5,5-tetramethyl-1,3,2-dioxaborolan-2-yl)phenyl)pyridine;Pyridine,4-[3-(4,4,5,5-tetramethyl-1,3,2-dioxaborolan-2-yl)phenyl];D-1438;
CAS号 1009033-83-3
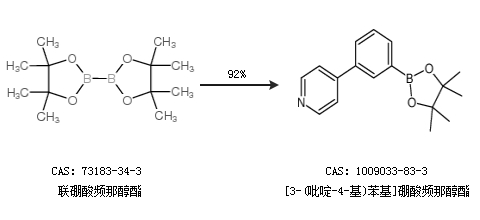
合成路线:
1.通过联硼酸频那醇酯合成[3-(吡啶-4-基)苯基]硼酸频那醇酯,收率约92%;

2.通过吡啶-4-硼酸合成[3-(吡啶-4-基)苯基]硼酸频那醇酯

合成路线仅供参考