基本信息:
中文名称 4-(3,5-二甲苯氧基)-苯酚
英文名称 Phenol, p-3,5-xylyloxy- (6CI)
英文别名 (4-Hydroxy-phenyl)-[3.5]xylyl-aether;O-[3.5]Xylyl-hydrochinon;4-[3.5]Xylyloxy-phenol;Phenol,4-(3,5-dimethylphenoxy);4-Hydroxy-1-(3.5-dimethyl-phenoxy)-benzol;O-(3.5-Dimethyl-phenyl)-hydrochinon;5-diMethylphenoxy);(4-Hydroxy-phenyl)-(3.5-dimethyl-phenyl)-aether;4-(3,5-Dimethyl-phenoxy)-phenol;
CAS号 100886-05-3
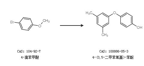
合成路线:
1.通过4-溴苯甲醚合成4-(3,5-二甲苯氧基)-苯酚

合成路线仅供参考