基本信息:
中文名称 4-羟基喹啉-3-甲醛
中文别名 4-氧代-1H-喹啉-3-甲醛;
英文名称 4-oxo-1H-quinoline-3-carbaldehyde
英文别名 3-formyl-4(1H)-quinolone;4-Hydroxy-Quinoline-3-Carbaldehyde;4-quinolon-3-carbaldehyde;3-Quinolinecarboxaldehyde,4-hydroxy;4-quinolone-3-carbaldehyde;1,4-dihydro-4-oxoquinoline-3-carbaldehyde;
CAS号 7509-12-8
合成路线:
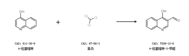
1.通过4-羟基喹啉和氯仿合成4-羟基喹啉-3-甲醛

2.通过四氯化碳、氯仿、4-羟基喹啉和水合成4-羟基喹啉-3-甲醛

合成路线仅供参考