基本信息:
中文名称 7-硝基-4-芴甲酸
中文别名 7-硝基-4-芴羧酸;
英文名称 7-nitro-9H-fluorene-4-carboxylic acid
英文别名 7-Nitro-fluoren-4-carbonsaeure;7-Nitro-4-fluorenecarboxylic acid;7-nitro-fluorene-4-carboxylic acid;7-Nitro-fluoren-carbonsaeure-(4);
CAS号 7256-04-4
合成路线:
1.通过9-芴酮-4-甲酸合成7-硝基-4-芴甲酸

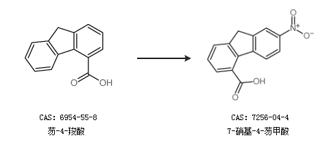
2.通过芴-4-羧酸合成7-硝基-4-芴甲酸

合成路线仅供参考