你好,欢迎来到中华试剂网 购试剂 买耗材! [请登录][注册有惊喜]

货号快速下单 | 签到送积分   | 会员中心 | 客服热线:400-021-2765

异钩藤碱的合成路线有哪些?

提问时间:2021/4/22 10:10:22
异钩藤碱有什么方法可以合成?

1条回复:

匿名
2021/4/22 10:10:22
基本信息:
中文名称 异钩藤碱
英文名称 ISORHYNCHOPHYLLINE
英文别名 Isorhyncophylline;7-Isorhynchophylline;7-Isorhyncophylline;
CAS号 6859-01-4

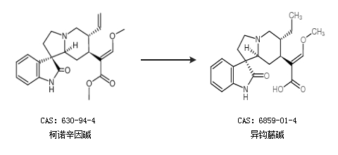
合成路线:
1.通过柯诺辛因碱合成异钩藤碱


2.通过色胺合成异钩藤碱


合成路线仅供参考
回复